jeudi 16 février 2023
Parmi les milliers de systèmes extrasolaires connus aujourd’hui, beaucoup possèdent des planètes qui n’ont pas leur équivalent dans notre Système solaire. C’est avec l’instrument SPIRou du Télescope Canada-France-Hawaï qu’une équipe internationale menée par Flavien KIEFER a pu confirmer la nature de trois planètes, découvertes par le satellite TESS (Transiting Exoplanet Survey Satellite). TOI-1695b, TOI-1452b et TOI-1759b sont des planètes de type sous-Neptune et super-Terre.
Pendant longtemps, on ne connaissait et, de fait, ne pouvait observer que les planètes du Système solaire : quatre planètes géantes orbitant loin du Soleil, et quatre planètes telluriques (dont la Terre), plus proches de notre étoile. Depuis plusieurs siècles, il semblait très probable que beaucoup d’autres étoiles, si ce n’est toutes, hébergeaient, elles aussi, des planètes. Elles restaient toutefois inaccessibles aux moyens d’observation dont nous disposions. On ne savait donc pas si ces éventuelles exoplanètes existaient réellement, étaient semblables à celles du Système solaire, ou présentaient des propriétés différentes.
C’est en 1995, en France et à l’Observatoire de Haute-Provence, que la situation a changé. Les astronomes Michel Mayor et Didier Quéloz observent le ciel avec le télescope de 193 cm et détectent la première exoplanète 51 Peg b. Cette découverte leur vaudra d’être récompensés par le Prix Nobel de physique en 2019. Depuis, de nouveaux instruments ont été développés. Ils ont permis la détection et la caractérisation de milliers d’exoplanètes, révolutionnant ainsi nos connaissances sur les systèmes planétaires, notamment leur formation et leur évolution.
La France a contribué de façon majeure au développement de l’instrument SPIRou [1], qui équipe le Télescope Canada-France-Hawaï. Ce spectropolarimètre installé sur la Grande île d’Hawaï et qui fonctionne dans le domaine infrarouge permet de rechercher des planètes autour d’étoiles moins massives, plus petites et moins chaudes que le Soleil : les naines rouges [2].

L’instrument SPIRou lors de son intégration au Télescope Canada-France-Hawaï.
Crédit : S. Chastanet, OMP/IRAP/CNRS.
Mais qu’est-ce au juste qu’un spectropolarimètre ? Il s’agit d’un instrument optique qui couple des réseaux de diffraction et des filtres polarisants et permet d’observer simultanément des spectres d’étoiles selon plusieurs modes de polarisation de la lumière. Le champ magnétique des étoiles a notamment de l’influence sur la polarisation, et les spectres stellaires varient périodiquement par effet Doppler lorsqu’une planète est en orbite autour d’elle. Les spectropolarimètres permettent de capter ces deux effets en même temps.
Les équipes scientifiques utilisent notamment SPIRou pour caractériser les « candidats planètes » (des objets susceptibles d’être des planètes) qui ont été identifiés autour d’étoiles naines rouges par le satellite TESS [3] de la NASA. Mais c’est grâce à SPIRou qui mesure la masse de ces objets que l’on peut établir leur vraie nature.

Courbe de variation de luminosité de TOI-1695 détectée par TESS au passage de l’exoplanète devant l’étoile.
Crédit : A&A Kiefer et al. 2023
La précision du télescope spatial TESS est telle qu’elle permet de mesurer des variations de luminosité des étoiles de l’ordre de 1 pour 10 000 (0.01%), comme celles provoquées par le passage d’une petite planète rocheuse devant son étoile.
Quant à SPIRou, son extrême stabilité le rend capable de mesurer une variation de la vitesse de l’étoile de seulement quelques mètres par seconde induite par ces mêmes planètes - un tour de force pour cet instrument cryogénique refroidi à la température de l’azote liquide (-200°).
C’est dans le cadre des programmes scientifiques entrepris avec SPIRou qu’une équipe internationale, impliquant fortement plusieurs laboratoires CNRS-INSU, a mené une étude qui a permis de découvrir et de caractériser une nouvelle planète baptisée TOI-1695b.
À peine deux fois plus grosse et six fois plus massive que la Terre, elle fait le tour de son étoile, une naine rouge, en seulement trois jours. Un peu moins grosse que Neptune [4] , cette nouvelle planète a une densité légèrement inférieure à celle de la Terre, et une température plus élevée de quelques centaines de degrés. Son atmosphère contient très probablement de grandes quantités d’hydrogène, d’hélium et de vapeur d’eau.

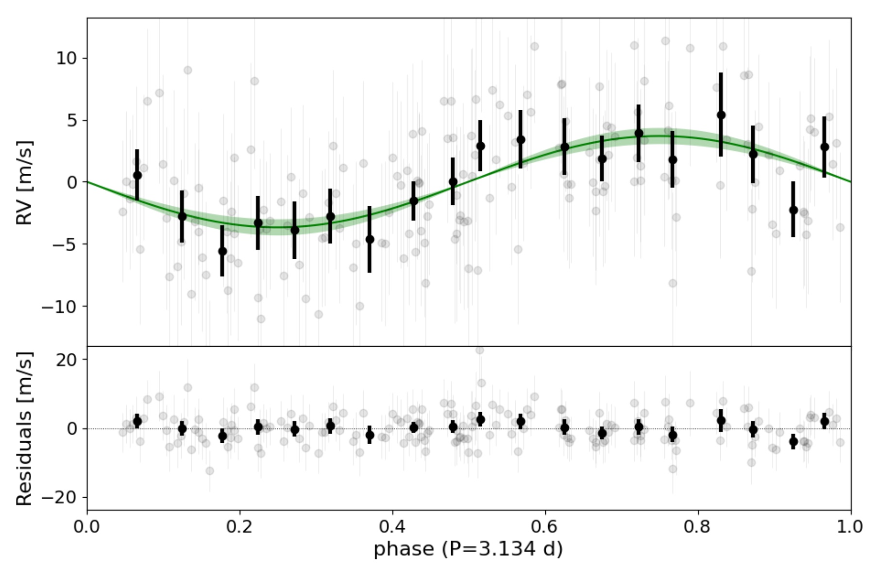
Courbe de vitesse radiale de TOI-1695 détectée par SPIRou et modèle de l’orbite de l’étoile dû à l’exoplanète.
Crédit : A&A Kiefer et al. 2023
Cette découverte va aider les chercheurs à mieux comprendre comment de telles planètes, absentes de notre Système solaire, peuvent devenir, au cours de leur formation, des planètes gazeuses pour certaines, ou des planètes rocheuses pour d’autres. Ceci en dépit de masses initialement similaires. Pour TOI-1695 b, on imagine qu’un cœur solide s’est formé à grande distance de l’étoile. La planète a ensuite migré vers son étoile en absorbant du gaz moléculaire (de l’eau notamment) qui provenait du disque primordial. C’est ainsi que s’est formée une petite planète gazeuse : une sous-Neptune.
Il y a quelques semaines, la même équipe avait annoncé la découverte et la caractérisation de la super-Terre TOI-1452b et de la sous-Neptune TOI-1759b, également en orbite autour d’étoiles naines rouges. La taille de ces nouvelles planètes est comprise entre 1,7 et 3,1 fois celle de la Terre, et leurs masses respectives entre 5 et 7 fois celle de la Terre. Il s’agit donc de planètes de taille et de masse intermédiaires entre la Terre et Neptune. Elles orbitent bien plus près de leurs étoiles hôtes, dans des conditions souvent plus chaudes que celles de la Terre (160ºC et 320ºC pour TOI-1759 b et TOI-1695 b). Ces découvertes confirment que de telles planètes, bien qu’inexistantes dans le Système solaire, sont très abondantes dans notre galaxie.
IAP (Institut d’Astrophysique de Paris), LESIA (Laboratoire d’Études Spatiales et d’Instrumentation en Astrophysique), OHP (Observatoire de Haute-Provence), LAM (Laboratoire d’Astrophysique de Marseille), IRAP (Institut de Recherche en Astrophysique et Planétologie), IPAG (Institut de Planétologie et d’Astrophysique de Grenoble).
Flavien Kiefer
Laboratoire d’études spatiales et d’instrumentation en astrophysique (LESIA), Observatoire de Paris
Institut d’astrophysique de Paris
CNRS, Sorbonne Université
Guillaume Hébrard
Institut d’astrophysique de Paris
CNRS, Sorbonne Université
Eder Martioli
Laboratório Nacional de Astrofísica, Itajubá, Brésil
Institut d’astrophysique de Paris
CNRS, Sorbonne Université
[1] SPIRou est un spectropolarimètre infrarouge qui a débuté ses observations en 2018 au Télescope Canada-France-Hawaï. Il vise notamment à rechercher et caractériser des planètes telluriques situées dans la zone habitable (la zone ni trop éloignée, ni trop proche de leur étoile). Son objectif est de détecter la présence d’eau liquide à la surface de planètes qui orbitent autour d’étoiles peu massives et à étudier l’impact du champ magnétique sur la formation des étoiles et des planètes. Ce projet est réalisé par des institutions situées en France, au Canada, aux États-Unis, au Brésil, au Portugal, en Suisse et à Taiwan. La contribution francilienne à SPIRou regroupe des membres de plusieurs laboratoires, dont le LESIA, avec un soutien financier du DIM-ACAV de la Région Île-de-France. Elle est dirigée par l’Institut d’astrophysique de Paris.
[2] Leur température est comprise entre 2500° et 4000°, alors celle du Soleil est à 5500°.
[3] TESS est un photomètre spatial de la NASA qui suit en continu pendant plusieurs mois la variation de luminosité de nombreuses étoiles réparties sur l’ensemble du ciel, avec une précision de 2 pour 10 000. Il peut permettre en théorie de détecter une exoTerre en orbite autour d’une étoile de petite masse.
[4] D’où sa désignation de sous-Neptune.