mardi 5 novembre 2019
Jordan Philidet, doctorant au LESIA, et ses collaborateurs ont effectué des simulations numériques directes pouvant représenter une enveloppe radiative stellaire ou la fine couche entre le noyau externe et le manteau d’une planète comme la Terre. Les résultats de ces simulations font apparaître le développement d’une région dite de super-rotation due à la stratification stable du milieu. Le phénomène de super-rotation se caractérise par une zone de cisaillement localisée le long de lignes de champ magnétique, susceptible de favoriser le développement d’instabilités, comme l’instabilité magnéto-rotationelle (MRI). Ceci pourrait expliquer aussi bien les soubresauts du champ magnétique terrestre que le désert magnétique observé pour les étoiles de masse intermédiaire.
Les résultats sont publiés dans la revue Geophysical & Astrophysical Fluid Dynamics.
L’étude des champs magnétiques, et de leur interaction avec le plasma dans lequel ils se développent, est d’une importance primordiale pour comprendre la structure et l’évolution de nombreux objets d’étude en astrophysique, parmi lesquels les intérieurs stellaires et planétaires. C’est en particulier le cas dans les zones stablement stratifiées (i.e non convectives) de ces objets, dans lesquelles la vitesse angulaire du plasma peut ne pas être uniforme. Cette rotation, dite différentielle, et le champ magnétique, sont des phénomènes étroitement liés, qui interagissent de nombreuses façons l’un avec l’autre.
Ainsi, dans les zones radiatives stellaires, le couplage entre les deux peut mener à une inhibition de la rotation différentielle, ou au contraire au développement de certaines instabilités susceptibles de grandement impacter la topologie du champ magnétique. Quant à l’intérieur de planètes telles que la Terre, la présence d’une fine couche stablement stratifiée entre le noyau externe (convectif) et le manteau (ou Core-Mantle Boundary, CMB), mise au jour par des études récentes, entraîne un couplage entre le champ magnétique et la rotation du manteau. Ainsi, les variations du champ magnétique terrestre entraîne des modulations de la longueur du jour.
Dans ce contexte, l’étude d’un modèle incorporant champ magnétique, rotation globale et différentielle, ainsi que stratification stable, et conjoignant une approche numérique globale et une approche analytique locale, permet d’éclaircir un certain nombre de points relatifs à ces questions.

Illustration du phénomène de super-rotation, où l’on représente la vitesse angulaire du fluide dans le référentiel (tournant) de la sphère externe.

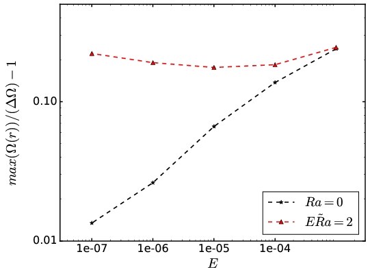
Amplitude de la super-rotation relativement à la rotation différentielle imposée entre les sphères interne et externe, en fonction du nombre d’Ekman (E << 1 correspond au régime magné- tostrophique). La prise en compte de la stratification du milieu (courbe rouge) redonne son importance à un phénomène qui tend à disparaître dans un milieu non stratifié (courbe noire).
Le code PaRoDy permet d’effectuer des simulations numériques directes (DNS) globales pouvant représenter très simplement une enveloppe radiative stellaire, ou bien, dans le contexte planétaire, la fine couche stablement stratifiée marquant la jonction entre le noyau externe de la Terre et son manteau.
Les résultats de ces simulations font apparaître le développement d’une région dite de super-rotation, c’est-à-dire d’une région où le plasma dépasse la vitesse angulaire imposée aux limites de la région simulée (région lunulée dans la figure illustrative). Dans les simulations et les expériences menées en laboratoire ne prenant pas en compte la stratification du milieu, la super-rotation est un phénomène qui tend à diminuer en importance dans le régime de rotation globale rapide (correspondant aux contextes stellaire et planétaire). Nos résultats montrent, en revanche, que la stratification stable du milieu redonne une amplitude significative à ce phénomène, même dans ce régime.
Le phénomène de super-rotation se caractérise par une zone de cisaillement localisée le long de lignes de champ magnétique. La présence de ce cisaillement localisé peut favoriser le déclenchement de certaines instabilités, parmi lesquelles l’instabilité magnéto-rotationnelle (MRI). Nous avons étudié analytiquement la possibilité pour cette instabilité de se développer, dans le régime de paramètres terrestre puis stellaire, étant donné le cisaillement typique pouvant être produit par la super-rotation.
Lorsque cette approche est appliquée au cas de la CMB terrestre, il apparaît que la MRI peut effectivement se développer. Son temps typique de croissance est de l’ordre de plusieurs années, ce qui correspond peu ou prou à l’échelle temporelle typique des soubresauts du champ magnétique terrestre. De plus, ceux-ci sont majoritairement observés à basse latitude, proche de l’équateur, là où le cisaillement dû au phénomène de super-rotation est le plus important.
Lorsque cette approche est appliquée au cas des enveloppes radiatives stellaires, le développement de la MRI est conditionné par l’amplitude du champ magnétique imposé. Il existe ainsi un certain intervalle d’amplitude au sein duquel la configuration magnétique est instable, tandis qu’un champ trop fort ou trop faible empêche la MRI de se développer. Ce résultat conforte l’idée, déjà avancée dans des études précédentes, qu’une dichotomie entre configurations magnétiques stables et instables pourrait expliquer le désert magnétique observationnel entre ∼ 1 et ∼ 300 G parmi les étoiles de masse intermédiaire.