mardi 24 juillet 2012, par le pôle "plasma"
La turbulence et sa dissipation dans les plasmas spatiaux peu collisionels (comme le vent solaire) restent de grandes questions ouvertes, actuellement très étudiées. Un des mécanismes qui pourrait expliquer le « chauffage manquant » du vent solaire est lié au fait que la température observée ne décroît pas de manière strictement adiabatique mais avec un gradient moins important. Si la turbulence dans le vent solaire est assez bien décrite sur les échelles MHD, elle est en revanche beaucoup moins bien connue sur des échelles proches des échelles caractéristiques des ions et des électrons.

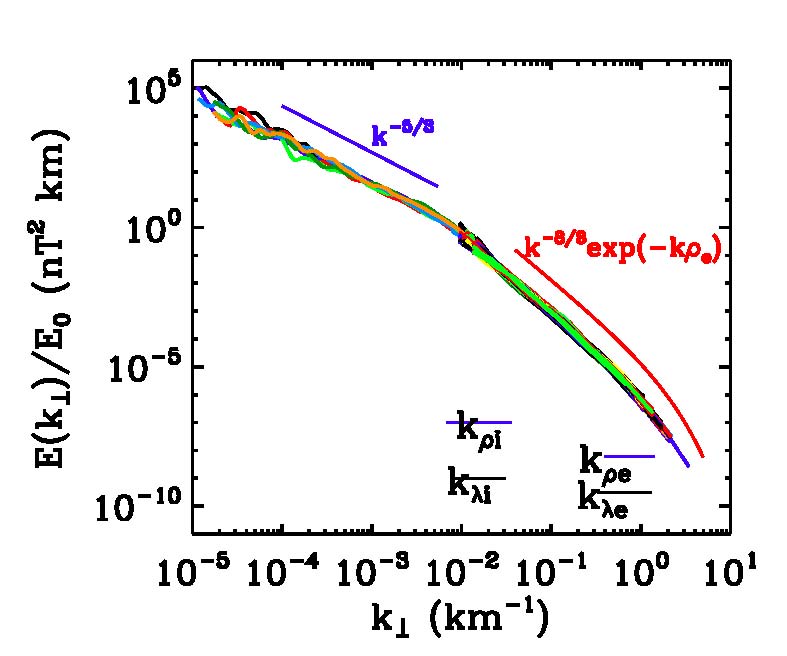
L’énergie spectral en fonction de vecteur d’ondes perpendiculaire au champ magnétique ambiant suit une loi de Kolmogorov k-5/3 dans le domaine MHD (k<kRi et kLi, avec kRi = 1/Ri, Ri étant le rayon de Larmor des ions et Li étant l’échelle d’inertie des ions), puis on observe un changement d’allure sur les échelles ioniques et un autre spectre générale dans le domaine cinétique k-8/3exp(-kRe) avec la fin de cascade sur les échelles électronique indiqué par la courbure du spectre sur ces échelles.
Les mesures de l’instrument STAFF sur CLUSTER ont révolutionné le domaine en permettant de mesurer à la fois les échelles ioniques du plasma (0.1-10 Hz, ces fréquences correspondent aux échelles spatiales 50-1000 km) et les échelles électroniques (200 m -5 km), comme le rayon de giration ρe autour du champ magnétique. Avec les mesures de STAFF-SA, on arrive pour la première fois à résoudre le spectre magnétique turbulent dans le vent solaire jusqu’à 400 Hz, c’est-à-dire jusqu’à 200 mètres. Sur ces petites échelles, Alexandrova et al., (PRL, 2009, AIP, 2010) ont obtenu une première indication du début du domaine dissipatif de la turbulence, caractérisé par un spectre exponentiel. Ce résultat crucial, obtenu sur 7 spectres, demandait à être confirmé par une étude statistique étendue.
Récemment, les mêmes auteurs ont étudié une centaine de spectres de fluctuations magnétiques mesurés par CLUSTER dans le vent solaire. Tous ces spectres peuvent être décrits par une loi générale, indépendamment de la nature du vent (lent ou rapide), et de ses propriétés macroscopiques (densité, température, champ magnétique). Alexandrova et al. (2012, soumis) montrent que la cascade électromagnétique dans le vent solaire se termine donc par une dissipation sur les électrons et que le niveau de la turbulence semble être déterminé par la pression thermique et l’anisotropie de température des protons dans le vent solaire. Ces derniers résultats indiquent que les instabilités d’anisotropie peuvent jouer un rôle d’injection ou de dissipation de l’énergie turbulente sur la cassure ionique. Cela est en accord avec les conclusions de Matteini et al. (2007). La cascade turbulente électromagnétique directe (des échelles MHD vers les petites échelles) se termine donc à l’échelle de giration des électrons autour du champ magnétique (ρe 1km).
Notons que des simulations électrostatiques de la turbulence mettent en évidence l’existence d’une cascade inverse, de la longueur de Debye vers des échelles plus grandes (qui se rapprochent des échelles électroniques) avec génération de structures cohérentes sous forme de solitons de Langmuir (Henri et al., EPL, 2011).