Instrument RFS (TNR-HFR) sur FIELDS
lundi 23 décembre 2019, par Michel Moncuquet
Parker Solar Probe a été lancée depuis Cap Canaveral le 12 août 2018. Elle orbite depuis autour du Soleil, et est maintenant proche de son 4ème périhélie : elle survolera Vénus le 26 décembre 2019 (2ème assistance gravitationnelle), et atteindra son 4ème périhélie fin janvier 2020, à une trentaine de rayons du Soleil.
Découvrir la proche couronne solaire et explorer l’ultime frontière qu’elle constitue, y réaliser les mesures in-situ qui permettront d’identifier et de quantifier les processus de pertes de masse du Soleil et de formation des vents, tels sont les objectifs fondamentaux – exploratoires et scientifiques – de Parker Solar Probe (PSP, NASA).
La stratégie est simple : des survols aussi proches que possible du Soleil, jusqu’à 9.5 rayons solaires (R⊙), pour pénétrer les zones où les flux de particules tout juste émis du Soleil, fortement hors équilibre et non relaxés, sont encore chauffés et accélérés pour former les vents qui vont construire l’héliosphère et conduire la dynamique du milieu dans lequel évoluent les planètes.
Priorité scientifique et technique de la NASA depuis de nombreuses années, ce projet est aussi considéré parmi les plus innovants et les plus excitants par la communauté “Soleil, Héliosphère, Magnétosphère” (SHM) du CNES, et a également de fortes résonances avec l’astrophysique hors Système solaire. Il permettra des avancées déterminantes - sur la base de mesures directes dans les vents naissants – pour comprendre la dynamique de l’environnement solaire, le chauffage et l’accélération des particules et, plus généralement, les processus de formation d’écoulements astrophysiques.

Comment le vent solaire est-il accéléré jusqu’à près de 1000 km/s ?
Parker Solar Probe est ainsi une mission pionnière de la NASA, officiellement sélectionnée depuis le 2 septembre 2010 , et qui explorera pour la première fois la proche couronne solaire, jusqu’à 9.5R⊙, à comparer avec les 60R⊙ d’approche maximale de Solar Orbiter (ESA-Cosmic Vision) ou des sondes Helios (RFA-NASA) dans les années 70. Notons à cet égard que, d’une part, les résultats d’Helios sont les seules mesures in situ « proches » dont on dispose à l’heure actuelle, et ont été largement utilisés pour définir, par extrapolation, les domaines d’investigation de PSP et, d’autre part, une grande synergie scientifique existe entre PSP et Solar Orbiter.
En outre, ces deux missions utilisent un scénario orbital similaire : survols de Vénus pour décroitre le périhélie (ou assistance gravitationnelle), jusqu’à ≈0.3 UA pour Solar Orbiter et jusqu’à 9.5 R⊙≈0.045 UA pour PSP. PSP a décollé de Cap Canaveral le 12 août 2018 et le lancement de Solar Orbiter est prévu en février 2020. Notons que le scénario de mission de PSP ci-dessus est pratiquement maintenu, avec quelques jours de décalage pour les évènements indiqués : par exemple, le premier périhélie de PSP a eu lieu le 5 novembre 2018, et comme prévu à 35.7R⊙ ou 0.17 UA, c’est-à -dire déjà presque deux fois plus proche du Soleil que la planète Mercure à son périhélie.
La sonde est maintenant (au 23/12/2019) proche de son 4ème périhélie : elle l’atteindra fin janvier 2020, à une trentaine de rayons du Soleil.
Pour accomplir sa mission pionnière de compréhension de l’origine et de l’évolution du vent solaire, la mission PSP exige une instrumentation à haute performance, capable de résister à l’environnement solaire proche et doit comporter notamment un jeu complet et bien intégré de mesures des champs électriques et magnétiques in situ. L’expérience PSP/FIELDS (PI : S. Bale, SSL, Berkeley UC) fournit ces capacités de mesure avec un risque faible et des techniques de pointe, dans un consortium qui fédère les efforts d’une équipe très expérimentée dotée d’un fort héritage sur de nombreuses missions spatiales passées ou en cours.
L’expérience FIELDS a trois objectifs scientifiques majeurs (c’est-à -dire requis pour le succès de PSP), et un objectif secondaire :
En plus des objectifs précédents, soulignons que la capacité des instruments de PSP/FIELDS à mesurer des phénomènes à toutes les échelles caractéristiques du plasma formant le vent solaire, signifie que FIELDS est aussi conçue pour découvrir des phénomènes nouveaux et donc inattendus (ce qui s’est produit chaque fois qu’une sonde s’est aventurée dans une région inexplorée du système solaire, en l’occurrence dans la proche couronne solaire, dont la thermodynamique est, à ce jour, largement incomprise).
Parmi les objectifs scientifiques de FIELDS indiqués ci-dessus, RFS (constitué de deux spectromètres radio baptisés TNR et HFR qui couvrent respectivement les gammes 10kHz-2.5MHz et 1MHz-16MHz) servira principalement les objectifs 2 , 3 et 4 et réalisera pour cela les trois grands types de mesure suivants :
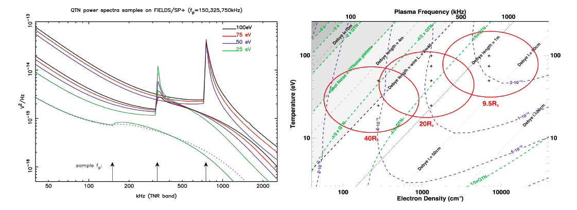
TNR/RFS permet de mesurer in situ les densité et température électronique du vent Solaire avec une excellente précision, par la méthode de spectroscopie du bruit quasi-thermique (QTN).
Pour l’expliquer brièvement, disons que les fluctuations du champ électrique, collectées par un dipôle électrique, produisent un spectre de puissance qui peut-être calculé théoriquement, notamment autour de la fréquence plasma (la fréquence de résonance du milieu), à partir de la distribution de vitesse des électrons du plasma ambiant d’une part, et de la géométrie/propriétés électriques de l’antenne collectrice d’autre part.
En ajustant les spectres calculés aux spectres mesurés, on peut ainsi déterminer les densités et températures des électrons du plasma ambiant (ou d’autres moments de la fonction de distribution le cas échéant), avec des précisions inégalées. En effet, les précisions attendues avec le design actuel (antennes fils minces de 2x2.m, avec une séparation des brins d’environ 3m) sont <2% sur les densités et <10% sur les températures dans 100% des cas rencontrés aux périhélies (9.5R⊙), et environ 80% des cas à 30 R⊙ (à plus grande distance, on devra souvent se contenter de la seule estimation de la densité).

Sur la figure de droite, les ellipses en rouge délimitent les densités/températures typiques du vent solaire que PSP va rencontrer à différentes distances du Soleil (en rayons solaires Rs). L’aire en blanc (LDebye < L = 2.4 m) est celle où la spectroscopie du QTN permet une mesure précise (voir texte) de la densité de la température du gros des électrons (core) et éventuellement d’autres paramètres suprathermiques (halo). Les aires en gris correspondent aux cas où le pic plasma n’est plus détectable et/ou le bruit d’impact domine sur le bruit quasi-thermique.
La partie HFR du récepteur est essentiellement destinée à étudier les émissions radio du Soleil (Types II et III) et éventuellement le continuum galactique : HFR permettra une couverture radio entre 1 et 16MHz, les sensibilités et la dynamique requises étant du même ordre que pour TNR, qui lui couvre la gamme 10-2500 kHz.
En outre, les deux voies sur RFS permettront également de cross-corréler les signaux des deux dipôles orthogonaux et de localiser les sources d’émissions (goniopolarimétrie ou "direction finding"). Une des voies peut également traiter un signal en provenance du capteur magnétique (Search Coil fourni par le LPC2E) et le corréler avec un signal électrique. Ces mesures de radioastronomie sont en partie résumées par la figure ci-dessous qui donne l’ordre de grandeur (en V/m/√Hz) du champ électrique pour les grands types d’émissions/ondes attendues.
Un autre objectif (mais ne faisant plus partie des objectifs obligatoires de la mission PSP) est de détecter, en radio fréquences, la présence de poussières (de taille du nanomètre au micron) le long des orbites de PSP. Par exemple, des nanoparticules ont été détectées dans le vent solaire à 1AU, grâce aux instruments radio S/WAVES à bord des sondes Stereo et RPWS à bord de Cassini.
En ce qui concerne cette détection par analyse des spectres (il en existe une autre par l’analyse des formes d’ondes), il s’agit de déterminer l’effet d’un ΔV sur une antenne monopole lorsqu’une poussière se volatilise et crée une bulle de plasma en impactant le corps de la sonde.
Toute la sonde est ainsi utilisée comme « collecteur de poussière », mais cela exige un mode de mesure spécifique, à l’aide d’un spectromètre à transformée de Fourier (c’est le cas de RFS) relié à un monopôle électrique, sur des fréquences typiques de quelques kHz. Ce mode opératoire est ainsi à l’étude au LESIA sur le récepteur RFS/TNR.
Milan Maksimovic (Lead Co-I), Michel Moncuquet (Co-I), Nicole Meyer-Vernet (Co-I), Karine Issautier (Associate Scientist).
Sont aussi impliqués au LESIA sur la mission PSP dans son ensemble : Olga Alexandrova, Carine Briand, Lorenzo Matteini, Filippo Pantellini, Arnaud Zaslavsky.
Depuis la première rédaction de cet article (en 2012), la sonde Parker Solar Probe à été lancée (le 12 août 2018), et est maintenant proche de son 4ème perihélie (le 30 janvier 2020). Les données en provenance de PSP ont déjà permis aux chercheurs du Lesia de publier des premiers résultats, tous reliés aux objectifs scientifiques qui sont décrits ici, et confirmant les performances attendues. Une mise à jour de cet article est en cours, notamment pour donner les liens correspondants (au 23/12/2019 -soyez patient)